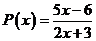
Average Profit: The total profit (in tens of dollars) from selling x books is . Find the average pro
Question: Average Profit: The total profit (in tens of dollars) from selling x books is
. Find the average profit from each sales level.
(a) 8 books (b) 15 books (c) x books
(d) Find the marginal average profit function.
Price: $2.99
Solution: The answer consists of 1 page
Deliverables: Word Document
Deliverables: Word Document
