Solution) A colony of bacteria is estimated to have a population of million t hours after the introduction of
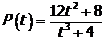
Question: A colony of bacteria is estimated to have a population of
million t hours after the introduction of a toxin designed to kill the bacteria.
a. What is the population at the time the toxin is introduced?
b. At what time is the population of the bacteria colony the greatest and what is that population?
c. At what time is the bacteria population decreasing at a rate of approximately 250,000 bacteria per hour?
Price: $2.99
Solution: The solution consists of 3 pages
Deliverable: Word Document
Deliverable: Word Document
