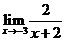
Solution) In problems 45-67, find the limit (if it exists).
Question: In problems 45-67, find the limit (if it exists).
![]()
Price: $2.99
Solution: The solution consists of 1 page
Solution Format: Word Document
Solution Format: Word Document
