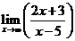
Solutions Calculus Find the following limit Question: Find the following limit Price: $2.99 See Solution: The downloadable solution consists of 1 pageType of Deliverable: Word Document ∴ Other downloads you may be interested in ∴ (See Solution) Find f'(x) if f(x)=3√{x}. #1182 Solution: Sketch the graph of the function f(x)=(3x+1)/(2x-1) (Find the critical points, inflection points and #15213 [Solved] Find the limit of the improper integral ∫_{1}^{∞ }{(2x-3){e^{-x}}} #18103 [Solved] Find f(x) by solving the initial value problem f'(x)=3x^2-2x+5 with f(1)=8. #1203 Math Solutions Math and Statistics Solutions