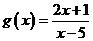
In problems 117-122, find the value of the derivative of the function at the indicated point.
Question: In problems 117-122, find the value of the derivative of the function at the indicated point.
![]()
Price: $2.99
Solution: The solution file consists of 1 page
Type of Deliverable: Word Document
Type of Deliverable: Word Document
