From a group of three Republicans, two Democrats, and one independent, a committee of two people is
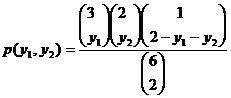
Question: From a group of three Republicans, two Democrats, and one independent, a committee of two people is to be randomly selected. Let Y1 denote the number of Republicans and Y2 denote the number of Democrats on the committee. Using the joint probability function p(y1, y2), fill out the following table.
(a)
, y1 = 0, 1, 2; y2 = 0, 1, 2
(b) What is ![]()
(c) What is ![]()
Price: $2.99
See Answer: The solution consists of 1 page
Type of Deliverable: Word Document
Type of Deliverable: Word Document
